New Tour Bus Restrictions: A Win for Outpost Estates

A picture of a Tour Bus driving on Outpost Drive in Outpost Estates.

Living in the Hollywood Hills has always meant breathtaking views and hillside charm — but lately, it has also meant more disruptions from tour buses. While Outpost Estates has always been home to many current and former artists/celebrities (e.g., Gore Vidal, Penny Marshall, Bob Barker, Dolores del Río, Bela Lugosi, Marvin Gaye, David Lynch, Orlando Bloom, Johnny Galecki, Winona Ryder, Felicity Huffman, Russel Brand, Madelaine Petsch, Kevin Smith, and many more), with recent new high-profile residents such as Brad Pitt moving into Outpost Estates, the area has drawn increased tour-bus traffic. These large sightseeing busses or vans have often used our narrow, winding streets as cut-throughs or parking/viewing spots, causing blocked driveways, traffic hazards, noise, and safety concerns for residents.

Thanks to a new ordinance from the City of Los Angeles, our neighborhood finally has a way to curb that disruption and protect its character and privacy.


📜 What Changed — Legal Background

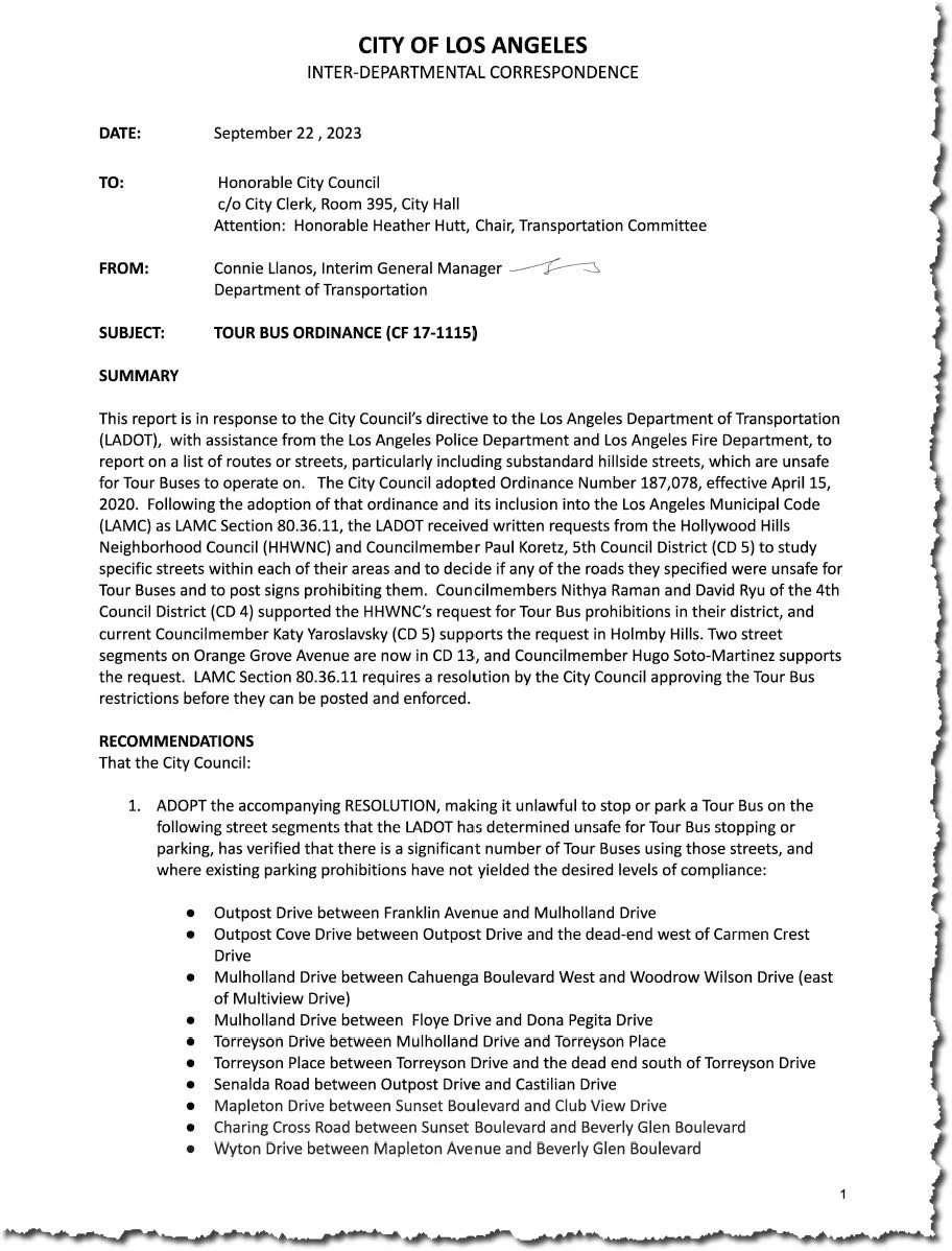
Click here to access the study that the Los Angeles Department of Transportation (LADOT) completed.

The City adopted Los Angeles Municipal Code Section 80.36.11, which empowers the city to prohibit tour buses from operating on specified streets and to ban their stopping or parking where posted.

  • Streets were selected based on demonstrated safety risks (narrow roads, blind curves, dangerous turn-arounds) and measurable tour-bus volume.

  • After review by the city and local neighborhood input, the ordinance was approved; LADOT then posted new “No Tour Bus” signage.

  • There was a 90-day notice period for bus operators; now enforcement is active.


🚫 What the New Signs Mean

You’ll see two types of postings on affected streets:

  • “No Tour Bus” — prohibits tour‐bus driving on that street at any time (24/7). Violations result in fines ($100–$250, escalating; multiple violations may even become misdemeanors).

  • “No Stopping Anytime, Tour Buses” — prohibits stopping, standing, or parking for tour buses anytime. Fines are higher ($300–$900+).

These rules apply only to commercial tour buses. Normal residential traffic — cars, rideshares, deliveries — is unaffected.

A picture of one of the “No Tour Buses” and “No Stopping Anytime Tour Buses” sign posted in Outpost Estates.


🗺️ Where It Applies in Outpost Estates

In and around our neighborhood, the following streets are now posted under the ordinance:

  • Outpost Drive (between Franklin Avenue and Mulholland Drive)

  • Outpost Cove Drive (from Outpost Drive to the dead end west of Carmen Crest Drive)

  • Senalda Road (between Outpost Drive and Castilian Drive)

  • Nearby hillside corridors including segments of Mulholland Drive, Cahuenga-to-Woodrow Wilson, and other adjacent routes identified by LADOT.

A map showing where the Tour Bus Restrictions are located in the City of Los Angeles.


👮 Why This Matters — The Benefits of the Ban

  1. 🔒 Safety & Emergency Access: Our streets are narrow, often with blind curves and limited or no sidewalks. Large tour buses navigating or parked on these roads create real hazards: blocked driveways, obstructed sight-lines for drivers and pedestrians, and potential obstructions for emergency vehicles. The ban reduces those hazards.

  2. 🚶 Residential Peace & Privacy: Tour buses often stop for sightseeing or paparazzi-style viewing, then honk, idle, or block roads — disrupting the quiet and privacy many residents value. With the ban, we reduce noise, vehicle clutter, and the feeling of being in a public attraction rather than a neighborhood.

  3. 🧯 Protecting Hillside Infrastructure: Repeated heavy-vehicle traffic, idling engines, and braking on steep hills can strain asphalt, curbs, and driveways. Fewer buses help preserve the condition of our hillside roads.

  4. 🏡 Maintaining Community Character: Outpost Estates is known for its hills, winding roads, and residential tranquility — not as a sightseeing hotspot. The ordinance helps preserve that character despite celebrity presence or increased interest.

Tour bus blocking narrow Outpost Estates hillside road.

Tour bus stopping on side of Mulholland Drive.


📞 What Neighbors Can Do

If you see a tour-bus violation in progress, here are options:

  1. If it’s a hazard, call 911.

  2. Otherwise, call the Los Angeles Police Department (LAPD) non-emergency line — 877-ASK-LAPD or 877-275-5273 — and request the West Bureau Traffic Division for a “tour-bus ordinance violation.” Provide: time, location, direction of travel, vehicle description and license plate, and if visible, the Transportation Carrier Permit (TCP) number.

  3. Use myLA311 to file reports.

  4. Join the Outpost Estates “Traffic & Tour Buses” WhatsApp text group link to post a photo/video there or send an email with photos videos to president@hhwnc.org so that the Hollywood Hills West Neighborhood Council can get notice of the violation and coordinate with the LAPD West Bureau Traffic Sergeant (Sgt. Ryan Klepper, 213-473-0215 or 35648@lapd.online) who is in charge of the Tour Bus Traffic task force. They keep records of each citation they issue and if these “visual/photo/video” offenders match up it adds to their ability to take further actions. Photos or videos (with date/time, location, license plate number and TCP number) won’t trigger a citation on their own, but they help LAPD and LADOT track repeat offenders and peak-time patterns.

🛑 Do not attempt to stop or confront the bus — it’s unsafe and could escalate.

Tour bus stopping on a blind curve on Mulholland Drive.


✨ A Big Neighborhood Win

With this ordinance, Outpost Estates takes a proactive step to protect its quality of life. At a time when celebrity residents and sight-seers may be drawn to the Hollywood Hills, the ban helps ensure that our streets remain safe, quiet, and residential — not congested show-stops.

We are grateful to the community advocates, the Hollywood Hills West Neighborhood Council, local Los Angeles City Council District 4 (Nithya Raman) offices, and city agencies — including the Los Angeles Department of Transportation (LADOT) and Los Angeles Police Department (LAPD) — for listening and acting.

If you care about preserving the spirit and serenity of Outpost Estates, please help by staying alert, reporting violations, and supporting enforcement.

Previous
Previous

Outpost Neighborhood Association — 2025 Year-End Review & Accomplishments

Next
Next

LA County Parks Foundation Award $25,000 Grant for Two New Landscaped Traffic Islands on Outpost Drive